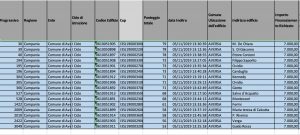
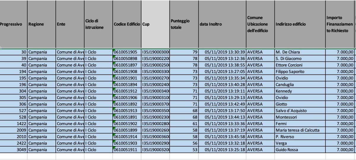
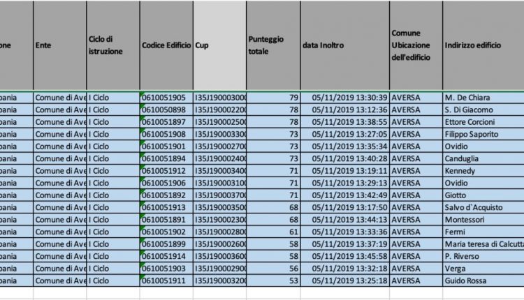
AVERSA – Sono state pubblicate sul sito del Ministero dell’Istruzione le graduatorie del bando da 65,9 milioni di euro per un Piano straordinario per le verifiche dei solai e dei controsoffitti degli edifici pubblici adibiti a uso scolastico e per eventuali interventi urgenti sulle situazioni di criticità che emergeranno dalle indagini. Nello specifico, verranno finanziate 5.560 verifiche. E la Città di Aversa ottiene ben 112 mila euro per verifiche che verranno effettuate in ben 16 istituti scolastici.

“Eravamo davvero speranzosi di ottenere questo importantissimo finanziamento che ci consentirà di continuare il percorso di messa in sicurezza dei nostri edifici scolastici- commenta con grande soddisfazione il Presidente della Commissione Lavori Pubblici ed Edilizia Scolastica Pasquale Fiorenzano – Questo finanziamento si andrà infatti a sommare alle risorse che in questi primi sei mesi abbiamo già stanziato per i nostri edifici scolastici. Sono cifre importantissime che non erano mai state destinate prima e che testimoniano la rilevanza che ha per noi la sicurezza dei gli edifici, l’efficienza degli stessi e quindi di riflesso la costruzione di un ambiente sicuro per tutti i bambini”.

Commenta così l’Assessore al ramo Benedetto Zoccola: “La sicurezza degli edifici scolastici rappresenta una nostra priorità. Vale la pena sottolineare che uno dei criteri per valutare gli interventi era l’assenza di finanziamenti e controlli negli anni precedenti. Sulla scuola grazie al sindaco Golia si è cambiato passo”.